Concepts of the {ggplot2} Package Pt. 1:
Solution Exercise 2
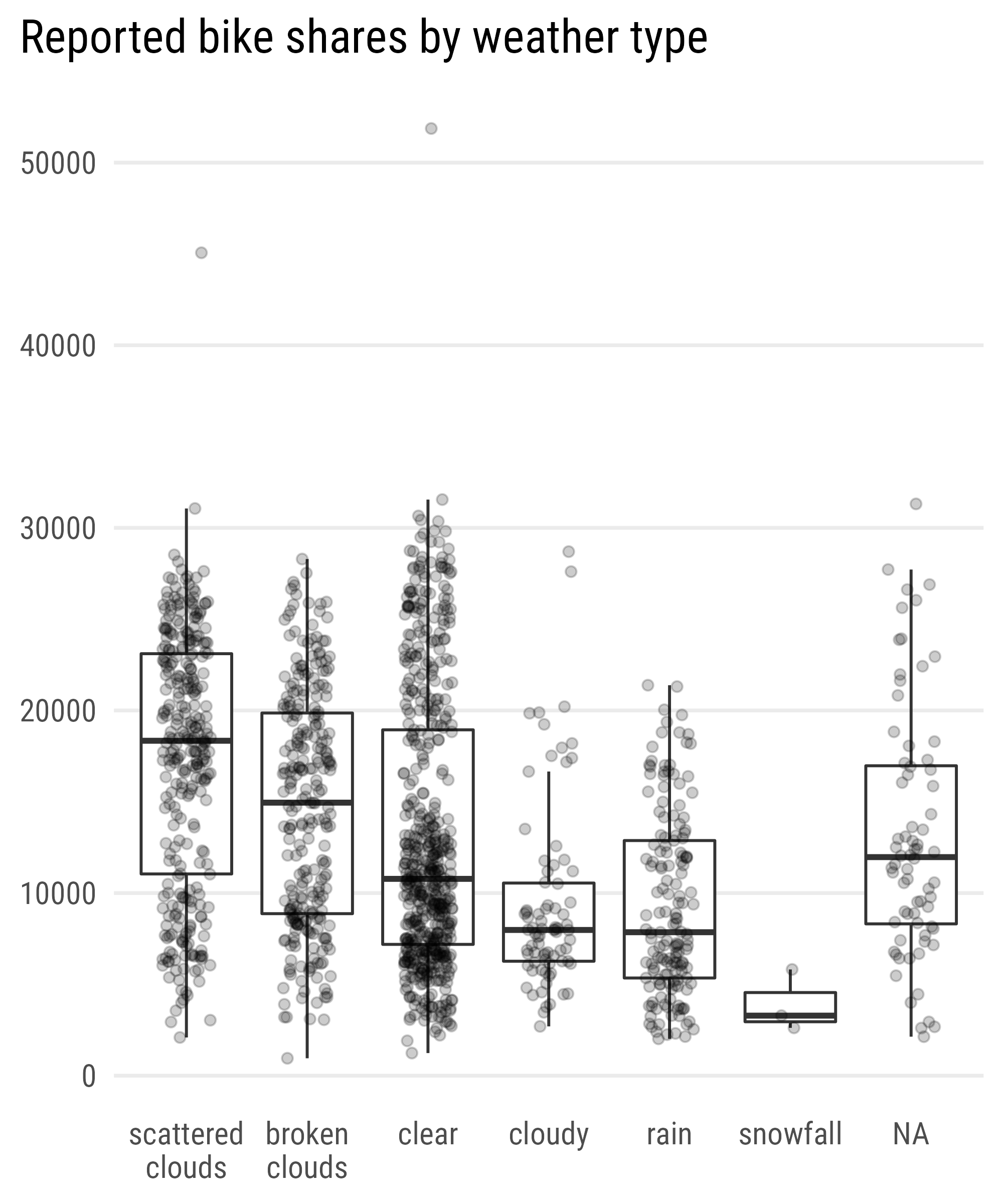
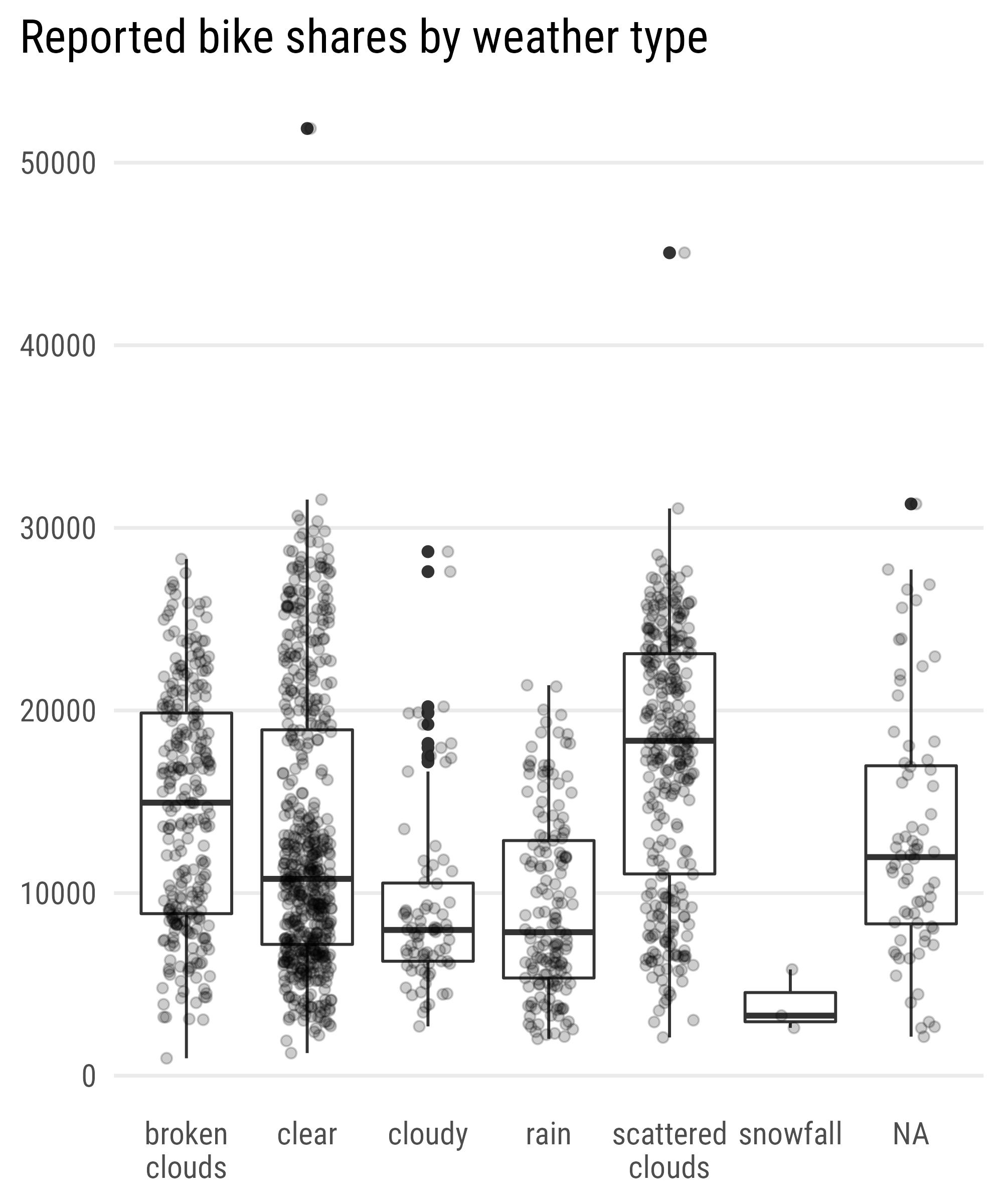
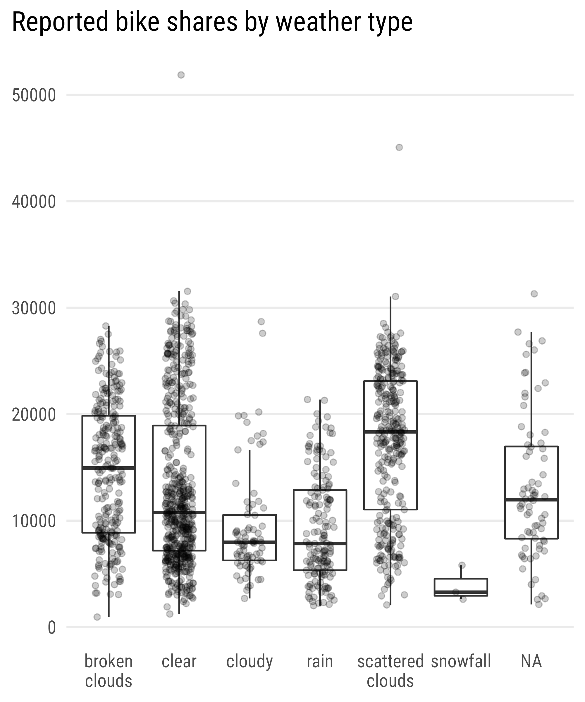
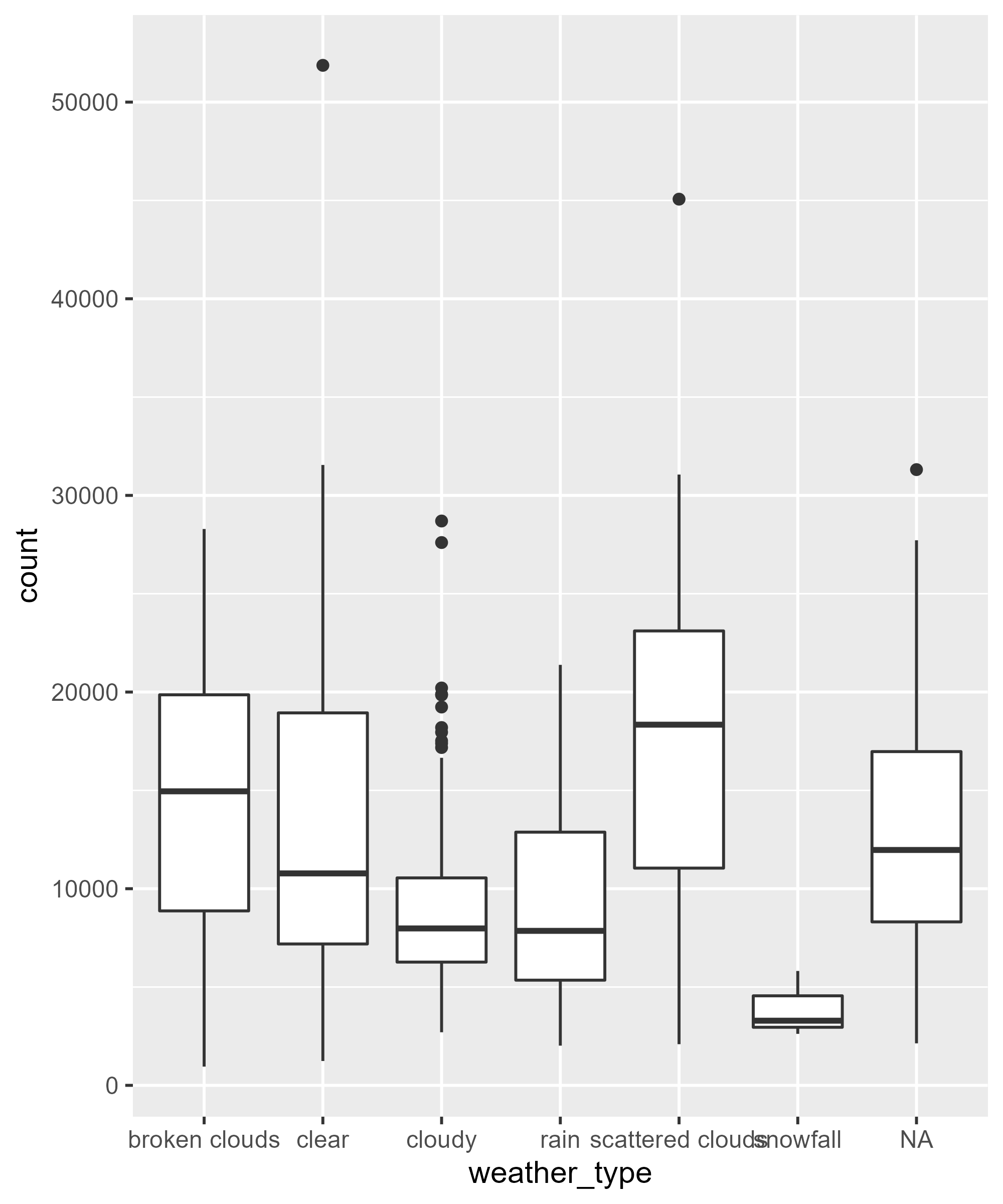
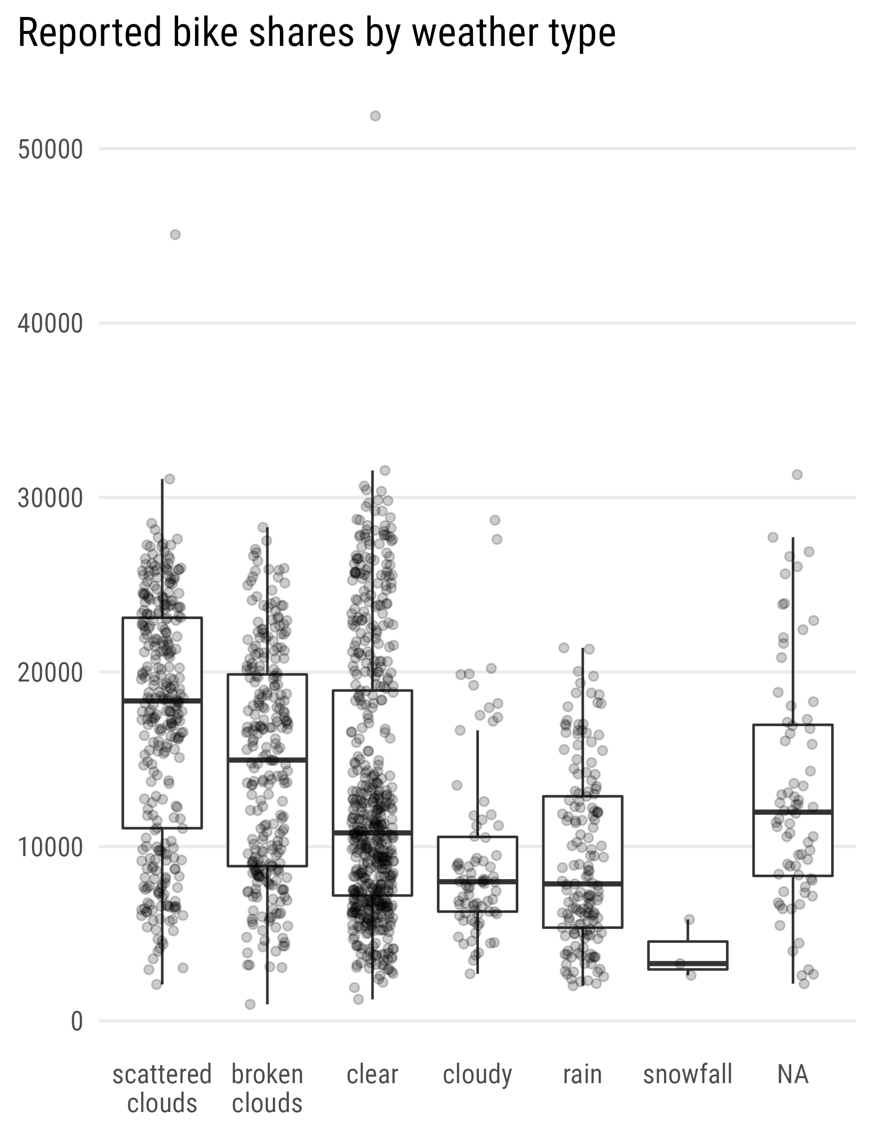
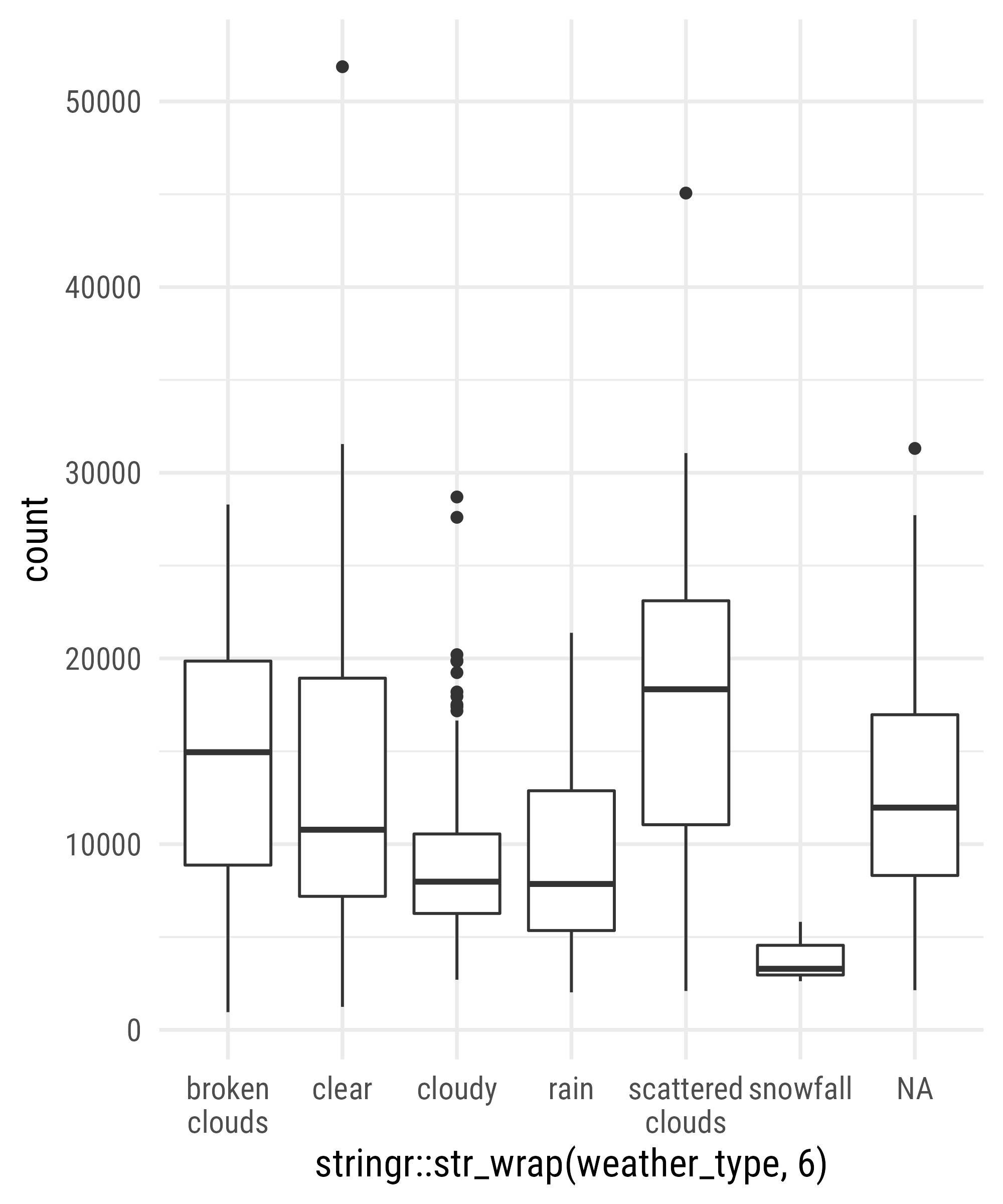
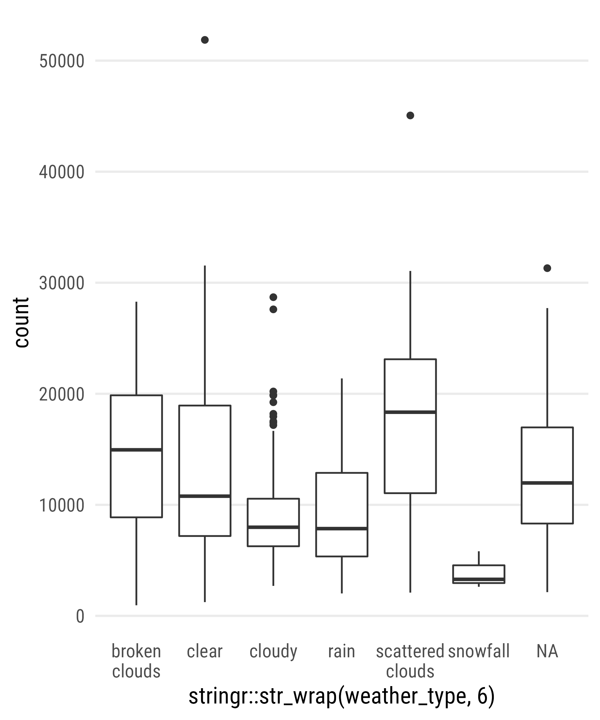
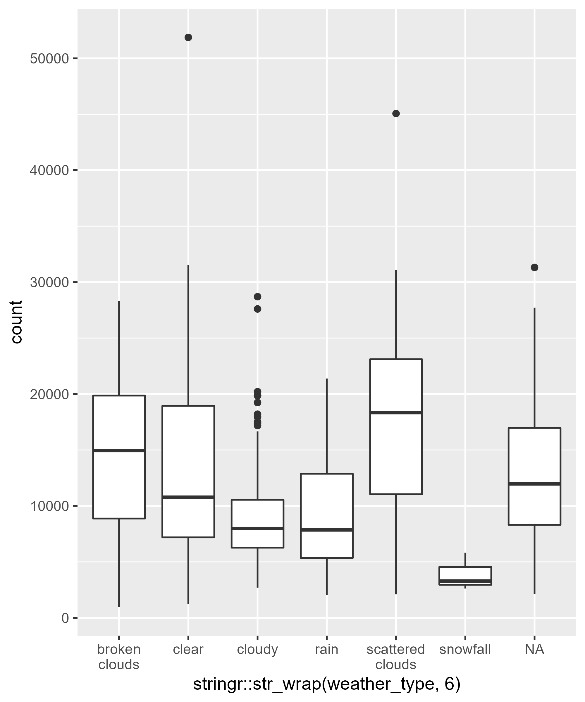
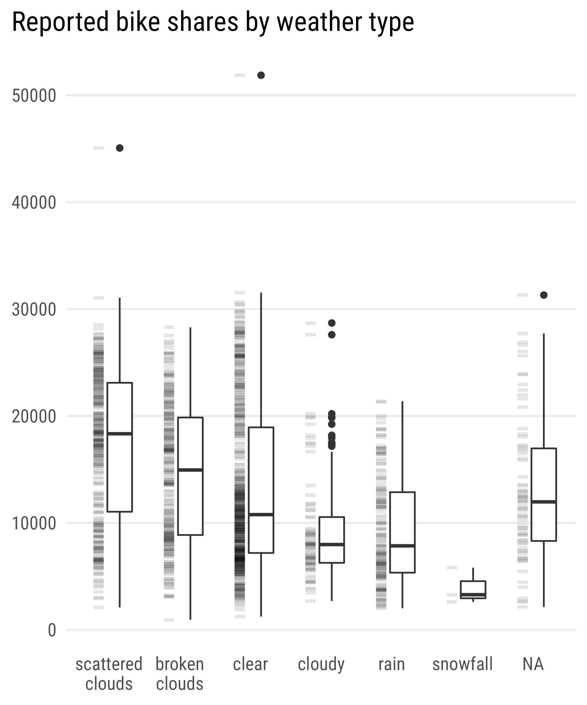
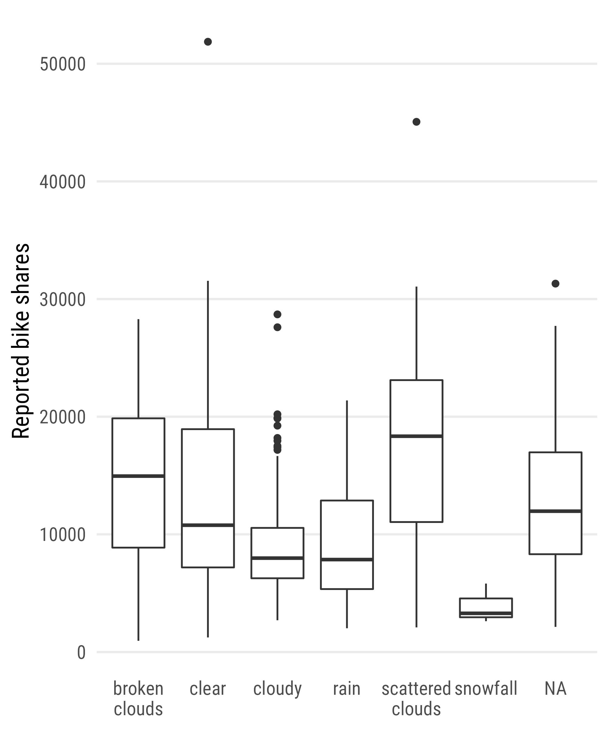
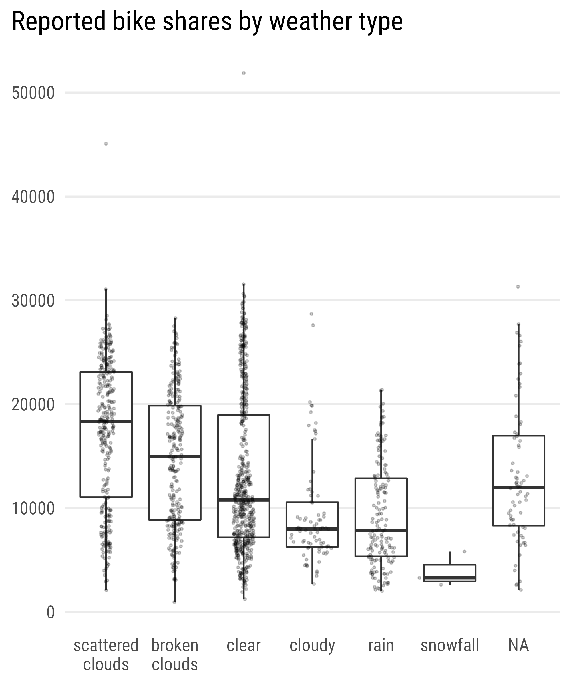
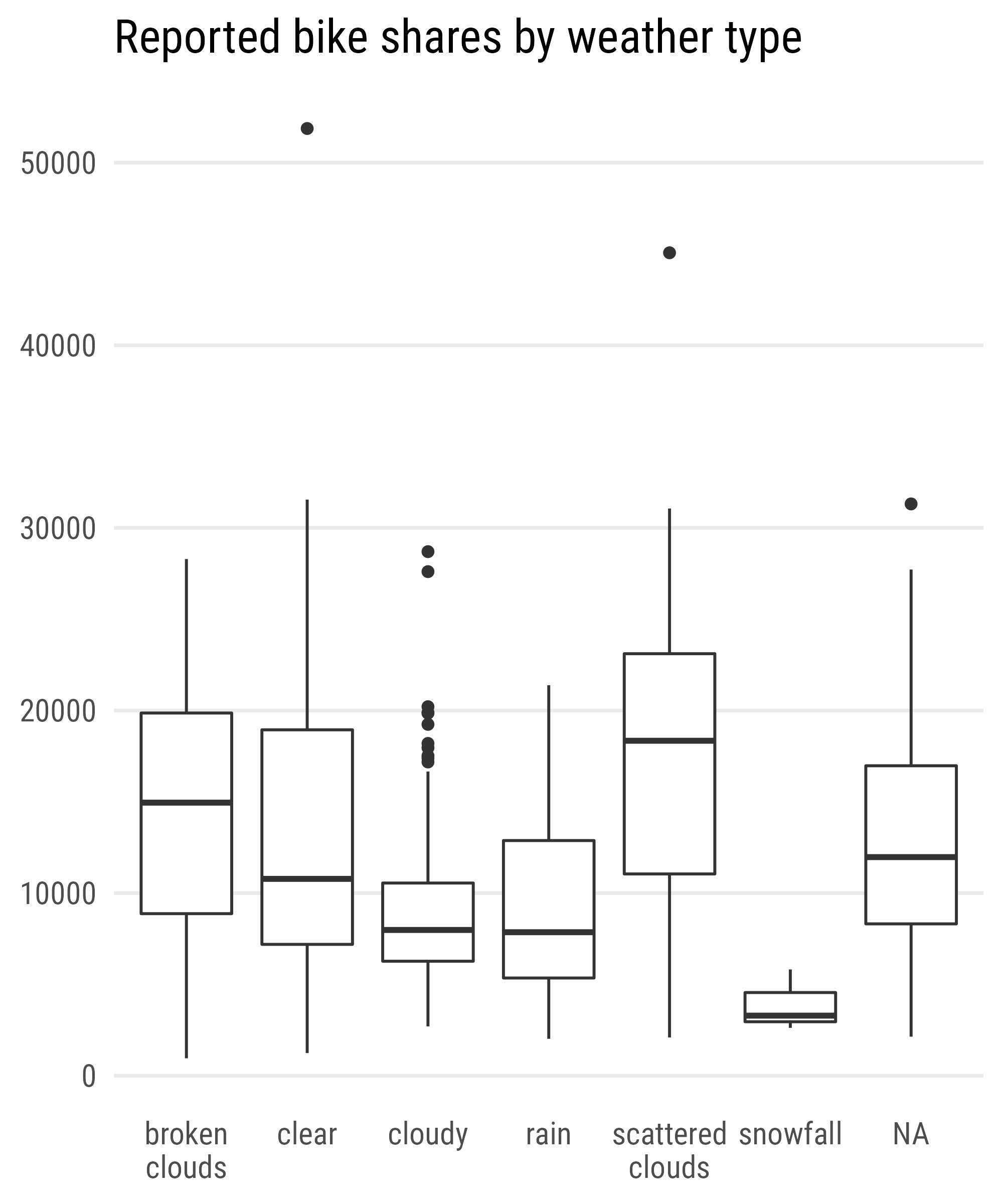
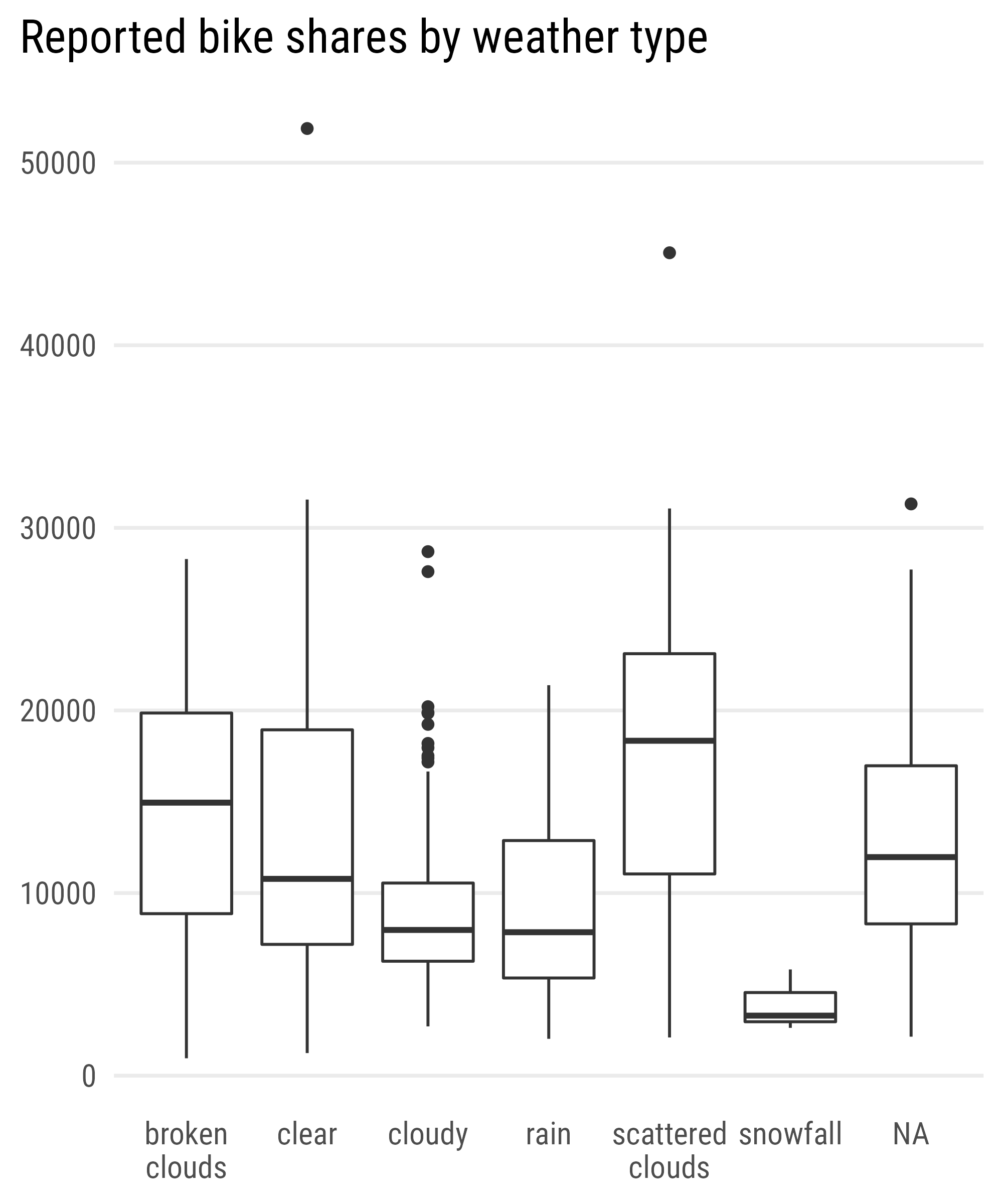
ggplot(
bikes,
aes(
x = forcats::fct_reorder(
str_wrap(weather_type, 6), -count
),
y = count)
) +
geom_boxplot(
outlier.shape = NA
# outlier.color = "transparent"
# outlier.alpha = 0
) +
geom_point(
position = position_jitter(
seed = 2022,
width = .2,
height = 0
),
alpha = .2
) +
ggtitle("Reported bike shares by weather type")

Cédric Scherer // rstudio::conf // July 2022